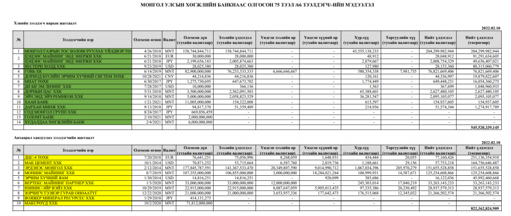
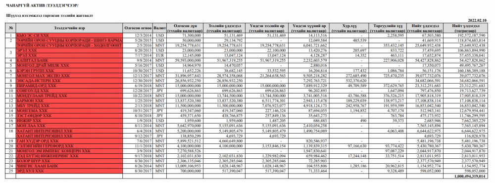
Монгол Улсын Хөгжлийн банк нь холбогдох хууль, дүрэм, журмын хүрээнд мэдээллийн ил тод, нээлттэй зарчмыг баримтлан Хөгжлийн банкнаас олгосон чанаргүй зээлийн мэдээллийг 2022 оны нэгдүгээр сарын 20-ны өдөр, Хөгжлийн банкнаас олгосон зээлийн багцын мэдээллийг 2022 оны нэгдүгээр сарын 31-ний өдөр өөрийн албан ёсны цахим хуудас болох www.dbm.mn хуудсанд байршуулж олон нийтэд мэдээлсэн.
Зээлийн багцын мэдээллийг 2022 оны хоёрдугаар сарын 11-ний өдрийн байдлаар шинэчлэн мэдээлж байна.
Олон нийтэд зээлийн мэдээллийг хүргэсэн 2022 оны нэгдүгээр сарын 20-ны өдрөөс хойш буюу өнөөдрийг хүртэлх 22 хоногийн хугацаанд нийт 39,828,377,135 /гучин есөн тэрбум найман зуун хорин найман сая гурван зуун далан долоон мянга нэг зуун гучин тав/ төгрөгийн зээлийн эргэн төлөлт хийгдээд байна.
Анхнаасаа л хэн хэн нь хуулиа барьж ёсчлон хэрэгжүүлэж ажилласан бол одоогын энэ байдалд хүрэхгүй хэвийн л ажиллах байсан шүүдээ,улс төрийн намд шургалаж төрийн өндөр албанд хүрсэн этгээдүүдийн,тэр дундаа өндөр албан тушаалтануудын эрх мэдлээ буруугаар ашигласаны хар гай ийм байдалд хүргэж байгаа юм,энэ бол анхных нь биш олон удаа хууль ёсыг завхаруулаж амин хувьдаа ашиг хонжоо ологсодын гаршсан бузар гэмт хэрэг,бүх нийтийн тэмцлээр тэдэнтэй хатуу хариуцлага тооцох,шаардлагатай бол ийм байдалд ортлоо ялзарсан улс төрийн намыг татан буулгаж шинэчлэх хэрэгтэй